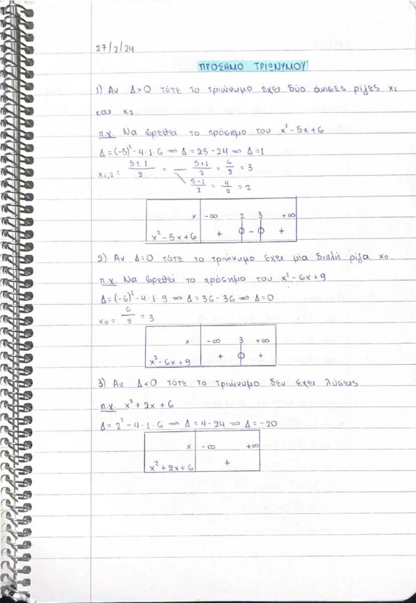
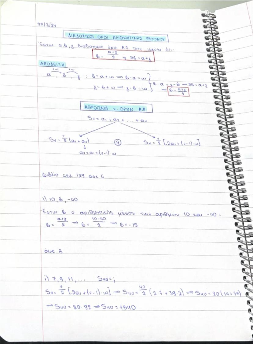
Αναλυτικές, ευανάγνωστες σημειώσεις άλγεβρας!!
Κάνε εγγραφή για να δεις το ΠΕΡΙΕΧΟΜΕΝΟΕίναι δωρεάν!
Πρόσβαση σε όλα τα έγγραφα
Βελτίωσε τους βαθμούς σου
Γίνε μέλος με εκατομμύρια μαθητές
Κάνοντας εγγραφή αποδέχεσαι τους Όρους Χρήσης και την Πολιτική Απορρήτου




















