Τα διανύσματαείναι από τα πιο χρήσιμα εργαλεία των μαθηματικών... Δες περισσότερα
Κάνε εγγραφή για να δεις το ΠΕΡΙΕΧΟΜΕΝΟΕίναι δωρεάν!
Πρόσβαση σε όλα τα έγγραφα
Βελτίωσε τους βαθμούς σου
Γίνε μέλος με εκατομμύρια μαθητές
Knowunity AI
Περισσότερα
Μαθήματα
Triangle Congruence and Similarity Theorems
Triangle Properties and Classification
Linear Equations and Graphs
Geometric Angle Relationships
Trigonometric Functions and Identities
Equation Solving Techniques
Circle Geometry Fundamentals
Division Operations and Methods
Basic Differentiation Rules
Exponent and Logarithm Properties
Δείξε όλα τα θέματα
Human Organ Systems
Reproductive Cell Cycles
Biological Sciences Subdisciplines
Cellular Energy Metabolism
Autotrophic Energy Processes
Inheritance Patterns and Principles
Biomolecular Structure and Organization
Cell Cycle and Division Mechanics
Cellular Organization and Development
Biological Structural Organization
Δείξε όλα τα θέματα
Chemical Sciences and Applications
Atomic Structure and Composition
Molecular Electron Structure Representation
Atomic Electron Behavior
Matter Properties and Water
Mole Concept and Calculations
Gas Laws and Behavior
Periodic Table Organization
Chemical Thermodynamics Fundamentals
Chemical Bond Types and Properties
Δείξε όλα τα θέματα
European Renaissance and Enlightenment
European Cultural Movements 800-1920
American Revolution Era 1763-1797
American Civil War 1861-1865
Global Imperial Systems
Mongol and Chinese Dynasties
U.S. Presidents and World Leaders
Historical Sources and Documentation
World Wars Era and Impact
World Religious Systems
Δείξε όλα τα θέματα
Classic and Contemporary Novels
Literary Character Analysis
Rhetorical Theory and Practice
Classic Literary Narratives
Reading Analysis and Interpretation
Narrative Structure and Techniques
English Language Components
Influential English-Language Authors
Basic Sentence Structure
Narrative Voice and Perspective
Δείξε όλα τα θέματα
829
•
Ενημερώθηκε Apr 26, 2026
•
Nefeli
@nefelhhan
Τα διανύσματαείναι από τα πιο χρήσιμα εργαλεία των μαθηματικών... Δες περισσότερα














Ένα διάνυσμα είναι απλά ένα βέλος με κατεύθυνση και μέγεθος. Φανταστείτε το σαν μια οδηγία που σας λέει "πάνε 5 μέτρα προς τα δεξιά" - αυτό είναι διάνυσμα!
Κάθε διάνυσμα έχει αρχή (από πού ξεκινά) και πέρας (πού τελειώνει). Το μέτρο του διανύσματος είναι η απόσταση μεταξύ της αρχής και του πέρατος - δηλαδή το μήκος του "βέλους".
Δύο διανύσματα είναι ίσα όταν έχουν ίδιο μέτρο και ίδια κατεύθυνση. Είναι αντίθετα όταν έχουν ίδιο μέτρο αλλά αντίθετη κατεύθυνση - σαν να γυρίσατε το βέλος ανάποδα!
Συμβουλή: Σκεφτείτε τα διανύσματα σαν οδηγίες GPS - σας δείχνουν πού να πάτε και πόσο μακριά!

Η πρόσθεση διανυσμάτων είναι σαν να ακολουθείτε δύο οδηγίες η μία μετά την άλλη. Πρώτα πάτε όπου σας λέει το πρώτο διάνυσμα, μετά συνεχίζετε με το δεύτερο.
Ισχύουν οι ίδιοι κανόνες με τους αριθμούς: α + β = β + α (αντιμεταθετική) και (α + β) + γ = α + (β + γ) (προσεταιριστική). Υπάρχει και το μηδενικό διάνυσμα που δεν αλλάζει τίποτα όταν το προσθέσετε.
Η αφαίρεση γίνεται προσθέτοντας το αντίθετο διάνυσμα: α - β = α + (-β). Το διάνυσμα θέσης σας βοηθά να εκφράσετε οποιοδήποτε διάνυσμα ως διαφορά δύο σημείων.
Προσοχή: Το μέτρο του αθροίσματος δεν είναι πάντα το άθροισμα των μέτρων - εξαρτάται από τη γωνία!

Όταν πολλαπλασιάζετε ένα διάνυσμα με αριθμό λ, το μέτρο γίνεται |λ| φορές μεγαλύτερο. Αν λ > 0, η κατεύθυνση μένει ίδια. Αν λ < 0, γυρίζει ανάποδα!
Οι γραμμικοί συνδυασμοί ν = κα + λβ σας επιτρέπουν να δημιουργήσετε νέα διανύσματα συνδυάζοντας υπάρχοντα. Είναι σαν μια "συνταγή" για διανύσματα.
Συνθήκη παραλληλίας: Δύο διανύσματα είναι παράλληλα όταν το ένα είναι πολλαπλάσιο του άλλου: α = κβ. Το μέσο τμήματος ΑΒ βρίσκεται με τον τύπο ΟΜ = (ΟΑ + ΟΒ)/2.
Χρήσιμο: Η συνθήκη παραλληλίας είναι κλειδί για να λύσετε γεωμετρικά προβλήματα!

Κάθε διάνυσμα μπορεί να γραφεί ως α = xi + yj, όπου i, j είναι τα βασικά διανύσματα των αξόνων. Οι αριθμοί x, y είναι οι συντεταγμένες του διανύσματος.
Οι πράξεις γίνονται πολύ εύκολες: (x₁,y₁) + (x₂,y₂) = και λ(x,y) = (λx, λy). Το μέτρο υπολογίζεται με τον τύπο |α| = √.
Για το μέσο τμήματος ΑΒ: Μ = . Για διάνυσμα με γνωστά άκρα Α(x₁,y₁), Β(x₂,y₂): ΑΒ = .
Συμβουλή: Οι συντεταγμένες κάνουν τους υπολογισμούς παιχνιδάκι - μάθετε τους τύπους!

Το εσωτερικό γινόμενο α·β = |α||β|συνθ είναι ένας τρόπος να "πολλαπλασιάσετε" δύο διανύσματα και να πάρετε έναν αριθμό. Μετράει πόσο "ταιριάζουν" στην κατεύθυνση.
Αν τα διανύσματα είναι κάθετα, το εσωτερικό γινόμενο είναι 0. Αν είναι ομόρροπα, είναι |α||β|. Αν είναι αντίρροπα, είναι -|α||β|.
Στις συντεταγμένες: α·β = x₁x₂ + y₁y₂. Για τη γωνία δύο διανυσμάτων: συνθ = (α·β)/(|α||β|). Αυτός ο τύπος είναι χρυσός για γεωμετρικά προβλήματα!
Κλειδί: Το εσωτερικό γινόμενο σας λέει αν δύο διανύσματα είναι κάθετα (αποτέλεσμα = 0)!

Για το μέσο τμήματος: Αν Μ είναι το μέσο του ΑΒ, τότε ΟΜ = (ΟΑ + ΟΒ)/2. Αυτό δίνει Μ = .
Συνθήκη παραλληλίας με συντελεστές διεύθυνσης: α//β ⟺ λ₁ = λ₂, όπου λ = y/x. Δηλαδή, παράλληλα διανύσματα έχουν ίδια "κλίση".
Συνθήκη καθετότητας: α ⊥ β ⟺ λ₁λ₂ = -1. Οι κλίσεις κάθετων διανυσμάτων όταν τις πολλαπλασιάσετε δίνουν -1.
Προσοχή: Οι συντελεστές διεύθυνσης δε ορίζονται όταν x = 0 (κατακόρυφα διανύσματα)!

Κάθε ευθεία έχει έναν συντελεστή διεύθυνσης λ που δείχνει πόσο "απότομα" ανεβαίνει. Για δύο σημεία Α(x₁,y₁), Β(x₂,y₂): λ = /.
Η βασική εξίσωση ευθείας είναι: y - y₀ = λ όταν περνά από σημείο (x₀,y₀). Άλλες χρήσιμες μορφές: y = αx + β (γενική μορφή) και x = x₀ (κατακόρυφη ευθεία).
Παράλληλες ευθείες έχουν ίδιο συντελεστή διεύθυνσης: λ₁ = λ₂. Κάθετες ευθείες έχουν συντελεστές που πολλαπλασιαζόμενοι δίνουν -1: λ₁λ₂ = -1.
Χρήσιμο: Ο συντελεστής διεύθυνσης σας λέει αμέσως αν δύο ευθείες είναι παράλληλες ή κάθετες!

Κάθε ευθεία γράφεται στη γενική μορφή: Αx + Βy + Γ = 0. Το διάνυσμα (Α,Β) είναι κάθετο στην ευθεία, ενώ το (Β,-Α) είναι παράλληλο.
Η απόσταση σημείου Μ₀(x₀,y₀) από ευθεία Αx + Βy + Γ = 0 είναι: d = |Αx₀ + Βy₀ + Γ|/√(Α² + Β²). Αυτός ο τύπος είναι απαραίτητος για πολλά προβλήματα!
Το εμβαδόν τριγώνου ΑΒΓ υπολογίζεται: (ΑΒΓ) = ½|det(AB, AΓ)|. Η ορίζουσα σας δίνει το εμβαδό με το σωστό πρόσημο.
Κλειδί: Η απόσταση σημείου από ευθεία είναι από τους πιο χρησιμοποιούμενους τύπους!

Ο κύκλος με κέντρο Κ(x₀,y₀) και ακτίνα ρ έχει εξίσωση: ² + ² = ρ². Για κέντρο στην αρχή: x² + y² = ρ².
Η εφαπτομένη κύκλου x² + y² = ρ² στο σημείο (x₁,y₁) είναι: xx₁ + yy₁ = ρ². Η γενική μορφή κύκλου: x² + y² + Αx + Βy + Γ = 0.
Η παραβολή είναι ο τόπος των σημείων που ισαπέχουν από μια εστία Ε και μια διευθετούσα δ. Οι βασικές εξισώσεις: x² = 2py (κατακόρυφος άξονας) και y² = 2px (οριζόντιος άξονας).
Σημαντικό: Η παραβολή έχει άξονα συμμετρίας που περνά από την εστία!

Για παραβολή x² = 2py: η εστία είναι στο Ε και η διευθετούσα στο y = -p/2. Αν p > 0, ανοίγει προς τα πάνω. Αν p < 0, προς τα κάτω.
Η παραβολή είναι συμμετρική ως προς τον άξονα που περνά από την εστία. Αν το Μ₁(x₁,y₁) είναι πάνω της, το Μ₂ είναι επίσης.
Εφαπτομένη παραβολής y² = 2px στο σημείο (x₁,y₁): yy₁ = p. Για x² = 2py: xx₁ = p. Αυτοί οι τύποι είναι χρήσιμοι σε προβλήματα βελτιστοποίησης.
Ενδιαφέρον: Οι παραβολές χρησιμοποιούνται στις κεραίες και στους προβολείς λόγω των ιδιοτήτων τους!



Ο AI σύντροφός μας είναι ειδικά σχεδιασμένος για τις ανάγκες των μαθητών. Βασισμένοι στα εκατομμύρια κομμάτια Περιεχομένων που έχουμε στην πλατφόρμα, μπορούμε να παρέχουμε πραγματικά ουσιαστικές και σχετικές απαντήσεις στους μαθητές. Αλλά δεν αφορά μόνο τις απαντήσεις, ο σύντροφος είναι ακόμη περισσότερο για την καθοδήγηση των μαθητών στις καθημερινές τους μαθησιακές προκλήσεις, με εξατομικευμένα προγράμματα μελέτης, κουίζ ή Περιεχόμενα στη Συνομιλία και 100% εξατομίκευση βασισμένη στις δεξιότητες και την ανάπτυξη των μαθητών.
Μπορείτε να κατεβάσετε την εφαρμογή από το Google Play Store και το Apple App Store.
Ναι, έχετε δωρεάν πρόσβαση στο περιεχόμενο της εφαρμογής και στον AI companion μας. Για να ξεκλειδώσετε ορισμένες λειτουργίες της εφαρμογής, μπορείτε να αγοράσετε το Knowunity Pro.
App Store
Google Play
Η εφαρμογή είναι πολύ εύκολη στη χρήση και καλά σχεδιασμένη. Έχω βρει ό,τι έψαχνα μέχρι τώρα και έχω μάθει πολλά από τις παρουσιάσεις! Σίγουρα θα χρησιμοποιήσω την εφαρμογή για μια εργασία του μαθήματος! Και φυσικά βοηθάει πολύ και ως έμπνευση.
Στέφαν Σ
χρήστης iOS
Αυτή η εφαρμογή είναι πραγματικά τέλεια. Υπάρχουν τόσες πολλές σημειώσεις μελέτης και βοήθεια [...]. Το μάθημα που με δυσκολεύει είναι τα Γαλλικά, για παράδειγμα, και η εφαρμογή έχει τόσες επιλογές για βοήθεια. Χάρη σε αυτή την εφαρμογή, έχω βελτιώσει τα Γαλλικά μου. Θα την πρότεινα σε οποιονδήποτε.
Σαμάνθα Κλιχ
χρήστης Android
Ουάου, είμαι πραγματικά εντυπωσιασμένος. Δοκίμασα την εφαρμογή επειδή την είδα διαφημισμένη πολλές φορές και έμεινα άφωνος. Αυτή η εφαρμογή είναι Η ΒΟΗΘΕΙΑ που χρειάζεσαι για το σχολείο και πάνω απ' όλα, προσφέρει τόσα πράγματα, όπως ασκήσεις και φύλλα γεγονότων, που ήταν ΠΟΛΥ χρήσιμα για μένα προσωπικά.
Άννα
χρήστης iOS
Το Knowunity είναι ότι πρέπει Για μαθητές οι οποίοι όντως έχουν την θέληση για μάθηση καθώς δεν είναι σαν τις άλλες εφαρμογές που σου δίνουν απευθείας την λύση όμως σου εξηγούν λεπτομερώς και την σημασία – νόημα αυτού του οποίου ψάχνεις ! Καταπληκτική εφεύρεση ! Ένας από τους λόγους για τον οποίο χαίρομαι που Η τεχνητή νοημοσύνη εξελίσσεται .
Φασαια
χρήστης iOS
τέλειοοο
Λίζα Μ
χρήστης Android
Αυτή η εφαρμογή με έχει κάνει τα θέλω να διαβάζω με βοηθάει πάρα πολύ
Καμαρινός Γ
χρήστης iOS
Η εφαρμογή είναι τέλεια! Το μόνο που χρειάζεται να κάνω είναι να εισάγω το θέμα στη γραμμή αναζήτησης και παίρνω την απάντηση πολύ γρήγορα. Δεν χρειάζεται να παρακολουθήσω 10 βίντεο στο YouTube για να καταλάβω κάτι, άρα εξοικονομώ χρόνο. Τη συνιστώ ανεπιφύλακτα!
Sudenaz Ocak
χρήστης Android
Στο σχολείο ήμουν πολύ κακός στα μαθηματικά, αλλά χάρη στην εφαρμογή τα πάω καλύτερα τώρα. Είμαι τόσο ευγνώμων που δημιούργησες την εφαρμογή.
Greenlight Bonnie
χρήστης Android
Το καλύτερο που υπάρχει αυτό έχω να πω εγώ
Τζούλια Σ
χρήστης Android
με βοηθάει πάρα πολύ στα μαθήματα πρέπει να το κατεβάσετε είναι ότι καλύτερο
Αγγο
χρήστης iOS
ΤΑ ΚΟΥΙΖ ΚΑΙ ΟΙ ΚΑΡΤΕΣ ΜΝΗΜΗΣ ΕΙΝΑΙ ΤΟΣΟ ΧΡΗΣΙΜΑ ΚΑΙ ΛΑΤΡΕΥΩ ΤΟ Knowunity ΤΝ. ΕΙΝΑΙ ΚΥΡΙΟΛΕΚΤΙΚΑ ΣΑΝ ΤΟ CHATGPT ΑΛΛΑ ΠΙΟ ΕΞΥΠΝΟ!! ΜΕ ΒΟΗΘΗΣΕ ΚΑΙ ΜΕ TA ΠΡΟΒΛΗΜΑΤΑ ΜΕ ΤΗ ΜΑΣΚΑΡΑ ΜΟΥ!! ΚΑΘΩΣ ΚΑΙ ΜΕ ΤΑ ΚΑΝΟΝΙΚΑ ΜΟΥ ΜΑΘΗΜΑΤΑ! ΞΕΚΑΘΑΡΑ 😍😁😲🤑💗✨🎀😮
Μαριλου
χρήστης Android
Η εφαρμογή αυτή είναι τέλεια Αν έχεις κάποια κενά ή κάποιος καθηγητής/καθηγητριά σου (ιδιαίτερα αν πας σε δημόσιο ) δεν κάνει καλό μάθημα ή δεν μπορείς να καταλάβεις το so σε βοηθάει με ερωτήσεις και μπορείς να βρεις πολλές σημειώσεις σε μαθήματα από άλλους μαθητές. Εγώ που δυσκολεύομαι με κάποια μαθήματα αυτή η εφαρμογή με έχει βοηθήσει να τα κατανοήσω όσο καλύτερα μπορώ
Thenia
χρήστης iOS
Η εφαρμογή είναι πολύ εύκολη στη χρήση και καλά σχεδιασμένη. Έχω βρει ό,τι έψαχνα μέχρι τώρα και έχω μάθει πολλά από τις παρουσιάσεις! Σίγουρα θα χρησιμοποιήσω την εφαρμογή για μια εργασία του μαθήματος! Και φυσικά βοηθάει πολύ και ως έμπνευση.
Στέφαν Σ
χρήστης iOS
Αυτή η εφαρμογή είναι πραγματικά τέλεια. Υπάρχουν τόσες πολλές σημειώσεις μελέτης και βοήθεια [...]. Το μάθημα που με δυσκολεύει είναι τα Γαλλικά, για παράδειγμα, και η εφαρμογή έχει τόσες επιλογές για βοήθεια. Χάρη σε αυτή την εφαρμογή, έχω βελτιώσει τα Γαλλικά μου. Θα την πρότεινα σε οποιονδήποτε.
Σαμάνθα Κλιχ
χρήστης Android
Ουάου, είμαι πραγματικά εντυπωσιασμένος. Δοκίμασα την εφαρμογή επειδή την είδα διαφημισμένη πολλές φορές και έμεινα άφωνος. Αυτή η εφαρμογή είναι Η ΒΟΗΘΕΙΑ που χρειάζεσαι για το σχολείο και πάνω απ' όλα, προσφέρει τόσα πράγματα, όπως ασκήσεις και φύλλα γεγονότων, που ήταν ΠΟΛΥ χρήσιμα για μένα προσωπικά.
Άννα
χρήστης iOS
Το Knowunity είναι ότι πρέπει Για μαθητές οι οποίοι όντως έχουν την θέληση για μάθηση καθώς δεν είναι σαν τις άλλες εφαρμογές που σου δίνουν απευθείας την λύση όμως σου εξηγούν λεπτομερώς και την σημασία – νόημα αυτού του οποίου ψάχνεις ! Καταπληκτική εφεύρεση ! Ένας από τους λόγους για τον οποίο χαίρομαι που Η τεχνητή νοημοσύνη εξελίσσεται .
Φασαια
χρήστης iOS
τέλειοοο
Λίζα Μ
χρήστης Android
Αυτή η εφαρμογή με έχει κάνει τα θέλω να διαβάζω με βοηθάει πάρα πολύ
Καμαρινός Γ
χρήστης iOS
Η εφαρμογή είναι τέλεια! Το μόνο που χρειάζεται να κάνω είναι να εισάγω το θέμα στη γραμμή αναζήτησης και παίρνω την απάντηση πολύ γρήγορα. Δεν χρειάζεται να παρακολουθήσω 10 βίντεο στο YouTube για να καταλάβω κάτι, άρα εξοικονομώ χρόνο. Τη συνιστώ ανεπιφύλακτα!
Sudenaz Ocak
χρήστης Android
Στο σχολείο ήμουν πολύ κακός στα μαθηματικά, αλλά χάρη στην εφαρμογή τα πάω καλύτερα τώρα. Είμαι τόσο ευγνώμων που δημιούργησες την εφαρμογή.
Greenlight Bonnie
χρήστης Android
Το καλύτερο που υπάρχει αυτό έχω να πω εγώ
Τζούλια Σ
χρήστης Android
με βοηθάει πάρα πολύ στα μαθήματα πρέπει να το κατεβάσετε είναι ότι καλύτερο
Αγγο
χρήστης iOS
ΤΑ ΚΟΥΙΖ ΚΑΙ ΟΙ ΚΑΡΤΕΣ ΜΝΗΜΗΣ ΕΙΝΑΙ ΤΟΣΟ ΧΡΗΣΙΜΑ ΚΑΙ ΛΑΤΡΕΥΩ ΤΟ Knowunity ΤΝ. ΕΙΝΑΙ ΚΥΡΙΟΛΕΚΤΙΚΑ ΣΑΝ ΤΟ CHATGPT ΑΛΛΑ ΠΙΟ ΕΞΥΠΝΟ!! ΜΕ ΒΟΗΘΗΣΕ ΚΑΙ ΜΕ TA ΠΡΟΒΛΗΜΑΤΑ ΜΕ ΤΗ ΜΑΣΚΑΡΑ ΜΟΥ!! ΚΑΘΩΣ ΚΑΙ ΜΕ ΤΑ ΚΑΝΟΝΙΚΑ ΜΟΥ ΜΑΘΗΜΑΤΑ! ΞΕΚΑΘΑΡΑ 😍😁😲🤑💗✨🎀😮
Μαριλου
χρήστης Android
Η εφαρμογή αυτή είναι τέλεια Αν έχεις κάποια κενά ή κάποιος καθηγητής/καθηγητριά σου (ιδιαίτερα αν πας σε δημόσιο ) δεν κάνει καλό μάθημα ή δεν μπορείς να καταλάβεις το so σε βοηθάει με ερωτήσεις και μπορείς να βρεις πολλές σημειώσεις σε μαθήματα από άλλους μαθητές. Εγώ που δυσκολεύομαι με κάποια μαθήματα αυτή η εφαρμογή με έχει βοηθήσει να τα κατανοήσω όσο καλύτερα μπορώ
Thenia
χρήστης iOS
Nefeli
@nefelhhan
Τα διανύσματα είναι από τα πιο χρήσιμα εργαλεία των μαθηματικών που θα συναντήσετε παντού - από τη φυσική μέχρι την τεχνολογία. Μαζί με τις ευθείες και τους κύκλους, αποτελούν τη βάση για να κατανοήσετε πώς λειτουργεί ο χώρος γύρω... Δες περισσότερα

Πρόσβαση σε όλα τα έγγραφα
Βελτίωσε τους βαθμούς σου
Γίνε μέλος με εκατομμύρια μαθητές
Ένα διάνυσμα είναι απλά ένα βέλος με κατεύθυνση και μέγεθος. Φανταστείτε το σαν μια οδηγία που σας λέει "πάνε 5 μέτρα προς τα δεξιά" - αυτό είναι διάνυσμα!
Κάθε διάνυσμα έχει αρχή (από πού ξεκινά) και πέρας (πού τελειώνει). Το μέτρο του διανύσματος είναι η απόσταση μεταξύ της αρχής και του πέρατος - δηλαδή το μήκος του "βέλους".
Δύο διανύσματα είναι ίσα όταν έχουν ίδιο μέτρο και ίδια κατεύθυνση. Είναι αντίθετα όταν έχουν ίδιο μέτρο αλλά αντίθετη κατεύθυνση - σαν να γυρίσατε το βέλος ανάποδα!
Συμβουλή: Σκεφτείτε τα διανύσματα σαν οδηγίες GPS - σας δείχνουν πού να πάτε και πόσο μακριά!

Πρόσβαση σε όλα τα έγγραφα
Βελτίωσε τους βαθμούς σου
Γίνε μέλος με εκατομμύρια μαθητές
Η πρόσθεση διανυσμάτων είναι σαν να ακολουθείτε δύο οδηγίες η μία μετά την άλλη. Πρώτα πάτε όπου σας λέει το πρώτο διάνυσμα, μετά συνεχίζετε με το δεύτερο.
Ισχύουν οι ίδιοι κανόνες με τους αριθμούς: α + β = β + α (αντιμεταθετική) και (α + β) + γ = α + (β + γ) (προσεταιριστική). Υπάρχει και το μηδενικό διάνυσμα που δεν αλλάζει τίποτα όταν το προσθέσετε.
Η αφαίρεση γίνεται προσθέτοντας το αντίθετο διάνυσμα: α - β = α + (-β). Το διάνυσμα θέσης σας βοηθά να εκφράσετε οποιοδήποτε διάνυσμα ως διαφορά δύο σημείων.
Προσοχή: Το μέτρο του αθροίσματος δεν είναι πάντα το άθροισμα των μέτρων - εξαρτάται από τη γωνία!

Πρόσβαση σε όλα τα έγγραφα
Βελτίωσε τους βαθμούς σου
Γίνε μέλος με εκατομμύρια μαθητές
Όταν πολλαπλασιάζετε ένα διάνυσμα με αριθμό λ, το μέτρο γίνεται |λ| φορές μεγαλύτερο. Αν λ > 0, η κατεύθυνση μένει ίδια. Αν λ < 0, γυρίζει ανάποδα!
Οι γραμμικοί συνδυασμοί ν = κα + λβ σας επιτρέπουν να δημιουργήσετε νέα διανύσματα συνδυάζοντας υπάρχοντα. Είναι σαν μια "συνταγή" για διανύσματα.
Συνθήκη παραλληλίας: Δύο διανύσματα είναι παράλληλα όταν το ένα είναι πολλαπλάσιο του άλλου: α = κβ. Το μέσο τμήματος ΑΒ βρίσκεται με τον τύπο ΟΜ = (ΟΑ + ΟΒ)/2.
Χρήσιμο: Η συνθήκη παραλληλίας είναι κλειδί για να λύσετε γεωμετρικά προβλήματα!

Πρόσβαση σε όλα τα έγγραφα
Βελτίωσε τους βαθμούς σου
Γίνε μέλος με εκατομμύρια μαθητές
Κάθε διάνυσμα μπορεί να γραφεί ως α = xi + yj, όπου i, j είναι τα βασικά διανύσματα των αξόνων. Οι αριθμοί x, y είναι οι συντεταγμένες του διανύσματος.
Οι πράξεις γίνονται πολύ εύκολες: (x₁,y₁) + (x₂,y₂) = και λ(x,y) = (λx, λy). Το μέτρο υπολογίζεται με τον τύπο |α| = √.
Για το μέσο τμήματος ΑΒ: Μ = . Για διάνυσμα με γνωστά άκρα Α(x₁,y₁), Β(x₂,y₂): ΑΒ = .
Συμβουλή: Οι συντεταγμένες κάνουν τους υπολογισμούς παιχνιδάκι - μάθετε τους τύπους!

Πρόσβαση σε όλα τα έγγραφα
Βελτίωσε τους βαθμούς σου
Γίνε μέλος με εκατομμύρια μαθητές
Το εσωτερικό γινόμενο α·β = |α||β|συνθ είναι ένας τρόπος να "πολλαπλασιάσετε" δύο διανύσματα και να πάρετε έναν αριθμό. Μετράει πόσο "ταιριάζουν" στην κατεύθυνση.
Αν τα διανύσματα είναι κάθετα, το εσωτερικό γινόμενο είναι 0. Αν είναι ομόρροπα, είναι |α||β|. Αν είναι αντίρροπα, είναι -|α||β|.
Στις συντεταγμένες: α·β = x₁x₂ + y₁y₂. Για τη γωνία δύο διανυσμάτων: συνθ = (α·β)/(|α||β|). Αυτός ο τύπος είναι χρυσός για γεωμετρικά προβλήματα!
Κλειδί: Το εσωτερικό γινόμενο σας λέει αν δύο διανύσματα είναι κάθετα (αποτέλεσμα = 0)!

Πρόσβαση σε όλα τα έγγραφα
Βελτίωσε τους βαθμούς σου
Γίνε μέλος με εκατομμύρια μαθητές
Για το μέσο τμήματος: Αν Μ είναι το μέσο του ΑΒ, τότε ΟΜ = (ΟΑ + ΟΒ)/2. Αυτό δίνει Μ = .
Συνθήκη παραλληλίας με συντελεστές διεύθυνσης: α//β ⟺ λ₁ = λ₂, όπου λ = y/x. Δηλαδή, παράλληλα διανύσματα έχουν ίδια "κλίση".
Συνθήκη καθετότητας: α ⊥ β ⟺ λ₁λ₂ = -1. Οι κλίσεις κάθετων διανυσμάτων όταν τις πολλαπλασιάσετε δίνουν -1.
Προσοχή: Οι συντελεστές διεύθυνσης δε ορίζονται όταν x = 0 (κατακόρυφα διανύσματα)!

Πρόσβαση σε όλα τα έγγραφα
Βελτίωσε τους βαθμούς σου
Γίνε μέλος με εκατομμύρια μαθητές
Κάθε ευθεία έχει έναν συντελεστή διεύθυνσης λ που δείχνει πόσο "απότομα" ανεβαίνει. Για δύο σημεία Α(x₁,y₁), Β(x₂,y₂): λ = /.
Η βασική εξίσωση ευθείας είναι: y - y₀ = λ όταν περνά από σημείο (x₀,y₀). Άλλες χρήσιμες μορφές: y = αx + β (γενική μορφή) και x = x₀ (κατακόρυφη ευθεία).
Παράλληλες ευθείες έχουν ίδιο συντελεστή διεύθυνσης: λ₁ = λ₂. Κάθετες ευθείες έχουν συντελεστές που πολλαπλασιαζόμενοι δίνουν -1: λ₁λ₂ = -1.
Χρήσιμο: Ο συντελεστής διεύθυνσης σας λέει αμέσως αν δύο ευθείες είναι παράλληλες ή κάθετες!

Πρόσβαση σε όλα τα έγγραφα
Βελτίωσε τους βαθμούς σου
Γίνε μέλος με εκατομμύρια μαθητές
Κάθε ευθεία γράφεται στη γενική μορφή: Αx + Βy + Γ = 0. Το διάνυσμα (Α,Β) είναι κάθετο στην ευθεία, ενώ το (Β,-Α) είναι παράλληλο.
Η απόσταση σημείου Μ₀(x₀,y₀) από ευθεία Αx + Βy + Γ = 0 είναι: d = |Αx₀ + Βy₀ + Γ|/√(Α² + Β²). Αυτός ο τύπος είναι απαραίτητος για πολλά προβλήματα!
Το εμβαδόν τριγώνου ΑΒΓ υπολογίζεται: (ΑΒΓ) = ½|det(AB, AΓ)|. Η ορίζουσα σας δίνει το εμβαδό με το σωστό πρόσημο.
Κλειδί: Η απόσταση σημείου από ευθεία είναι από τους πιο χρησιμοποιούμενους τύπους!

Πρόσβαση σε όλα τα έγγραφα
Βελτίωσε τους βαθμούς σου
Γίνε μέλος με εκατομμύρια μαθητές
Ο κύκλος με κέντρο Κ(x₀,y₀) και ακτίνα ρ έχει εξίσωση: ² + ² = ρ². Για κέντρο στην αρχή: x² + y² = ρ².
Η εφαπτομένη κύκλου x² + y² = ρ² στο σημείο (x₁,y₁) είναι: xx₁ + yy₁ = ρ². Η γενική μορφή κύκλου: x² + y² + Αx + Βy + Γ = 0.
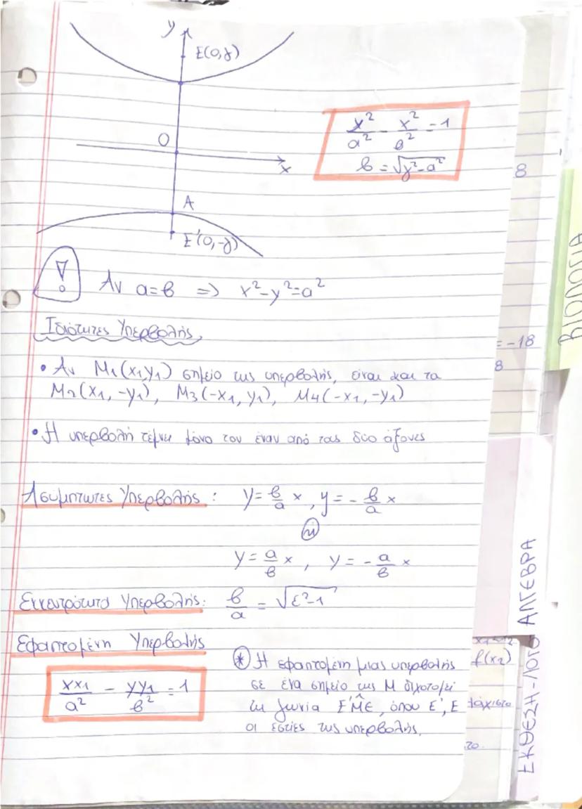
Η παραβολή είναι ο τόπος των σημείων που ισαπέχουν από μια εστία Ε και μια διευθετούσα δ. Οι βασικές εξισώσεις: x² = 2py (κατακόρυφος άξονας) και y² = 2px (οριζόντιος άξονας).
Σημαντικό: Η παραβολή έχει άξονα συμμετρίας που περνά από την εστία!

Πρόσβαση σε όλα τα έγγραφα
Βελτίωσε τους βαθμούς σου
Γίνε μέλος με εκατομμύρια μαθητές
Για παραβολή x² = 2py: η εστία είναι στο Ε και η διευθετούσα στο y = -p/2. Αν p > 0, ανοίγει προς τα πάνω. Αν p < 0, προς τα κάτω.
Η παραβολή είναι συμμετρική ως προς τον άξονα που περνά από την εστία. Αν το Μ₁(x₁,y₁) είναι πάνω της, το Μ₂ είναι επίσης.
Εφαπτομένη παραβολής y² = 2px στο σημείο (x₁,y₁): yy₁ = p. Για x² = 2py: xx₁ = p. Αυτοί οι τύποι είναι χρήσιμοι σε προβλήματα βελτιστοποίησης.
Ενδιαφέρον: Οι παραβολές χρησιμοποιούνται στις κεραίες και στους προβολείς λόγω των ιδιοτήτων τους!

Πρόσβαση σε όλα τα έγγραφα
Βελτίωσε τους βαθμούς σου
Γίνε μέλος με εκατομμύρια μαθητές

Πρόσβαση σε όλα τα έγγραφα
Βελτίωσε τους βαθμούς σου
Γίνε μέλος με εκατομμύρια μαθητές

Πρόσβαση σε όλα τα έγγραφα
Βελτίωσε τους βαθμούς σου
Γίνε μέλος με εκατομμύρια μαθητές
Ο AI σύντροφός μας είναι ειδικά σχεδιασμένος για τις ανάγκες των μαθητών. Βασισμένοι στα εκατομμύρια κομμάτια Περιεχομένων που έχουμε στην πλατφόρμα, μπορούμε να παρέχουμε πραγματικά ουσιαστικές και σχετικές απαντήσεις στους μαθητές. Αλλά δεν αφορά μόνο τις απαντήσεις, ο σύντροφος είναι ακόμη περισσότερο για την καθοδήγηση των μαθητών στις καθημερινές τους μαθησιακές προκλήσεις, με εξατομικευμένα προγράμματα μελέτης, κουίζ ή Περιεχόμενα στη Συνομιλία και 100% εξατομίκευση βασισμένη στις δεξιότητες και την ανάπτυξη των μαθητών.
Μπορείτε να κατεβάσετε την εφαρμογή από το Google Play Store και το Apple App Store.
Ναι, έχετε δωρεάν πρόσβαση στο περιεχόμενο της εφαρμογής και στον AI companion μας. Για να ξεκλειδώσετε ορισμένες λειτουργίες της εφαρμογής, μπορείτε να αγοράσετε το Knowunity Pro.
13
Έξυπνα Εργαλεία ΝΕΟ
Μετέτρεψε αυτές τις σημειώσεις σε: ✓ 50+ Ερωτήσεις Εξάσκησης ✓ Διαδραστικές Κάρτες Μνήμης ✓ Πλήρες Προσομοιωτικό Διαγώνισμα ✓ Σχέδια Δοκιμίου
App Store
Google Play
Η εφαρμογή είναι πολύ εύκολη στη χρήση και καλά σχεδιασμένη. Έχω βρει ό,τι έψαχνα μέχρι τώρα και έχω μάθει πολλά από τις παρουσιάσεις! Σίγουρα θα χρησιμοποιήσω την εφαρμογή για μια εργασία του μαθήματος! Και φυσικά βοηθάει πολύ και ως έμπνευση.
Στέφαν Σ
χρήστης iOS
Αυτή η εφαρμογή είναι πραγματικά τέλεια. Υπάρχουν τόσες πολλές σημειώσεις μελέτης και βοήθεια [...]. Το μάθημα που με δυσκολεύει είναι τα Γαλλικά, για παράδειγμα, και η εφαρμογή έχει τόσες επιλογές για βοήθεια. Χάρη σε αυτή την εφαρμογή, έχω βελτιώσει τα Γαλλικά μου. Θα την πρότεινα σε οποιονδήποτε.
Σαμάνθα Κλιχ
χρήστης Android
Ουάου, είμαι πραγματικά εντυπωσιασμένος. Δοκίμασα την εφαρμογή επειδή την είδα διαφημισμένη πολλές φορές και έμεινα άφωνος. Αυτή η εφαρμογή είναι Η ΒΟΗΘΕΙΑ που χρειάζεσαι για το σχολείο και πάνω απ' όλα, προσφέρει τόσα πράγματα, όπως ασκήσεις και φύλλα γεγονότων, που ήταν ΠΟΛΥ χρήσιμα για μένα προσωπικά.
Άννα
χρήστης iOS
Το Knowunity είναι ότι πρέπει Για μαθητές οι οποίοι όντως έχουν την θέληση για μάθηση καθώς δεν είναι σαν τις άλλες εφαρμογές που σου δίνουν απευθείας την λύση όμως σου εξηγούν λεπτομερώς και την σημασία – νόημα αυτού του οποίου ψάχνεις ! Καταπληκτική εφεύρεση ! Ένας από τους λόγους για τον οποίο χαίρομαι που Η τεχνητή νοημοσύνη εξελίσσεται .
Φασαια
χρήστης iOS
τέλειοοο
Λίζα Μ
χρήστης Android
Αυτή η εφαρμογή με έχει κάνει τα θέλω να διαβάζω με βοηθάει πάρα πολύ
Καμαρινός Γ
χρήστης iOS
Η εφαρμογή είναι τέλεια! Το μόνο που χρειάζεται να κάνω είναι να εισάγω το θέμα στη γραμμή αναζήτησης και παίρνω την απάντηση πολύ γρήγορα. Δεν χρειάζεται να παρακολουθήσω 10 βίντεο στο YouTube για να καταλάβω κάτι, άρα εξοικονομώ χρόνο. Τη συνιστώ ανεπιφύλακτα!
Sudenaz Ocak
χρήστης Android
Στο σχολείο ήμουν πολύ κακός στα μαθηματικά, αλλά χάρη στην εφαρμογή τα πάω καλύτερα τώρα. Είμαι τόσο ευγνώμων που δημιούργησες την εφαρμογή.
Greenlight Bonnie
χρήστης Android
Το καλύτερο που υπάρχει αυτό έχω να πω εγώ
Τζούλια Σ
χρήστης Android
με βοηθάει πάρα πολύ στα μαθήματα πρέπει να το κατεβάσετε είναι ότι καλύτερο
Αγγο
χρήστης iOS
ΤΑ ΚΟΥΙΖ ΚΑΙ ΟΙ ΚΑΡΤΕΣ ΜΝΗΜΗΣ ΕΙΝΑΙ ΤΟΣΟ ΧΡΗΣΙΜΑ ΚΑΙ ΛΑΤΡΕΥΩ ΤΟ Knowunity ΤΝ. ΕΙΝΑΙ ΚΥΡΙΟΛΕΚΤΙΚΑ ΣΑΝ ΤΟ CHATGPT ΑΛΛΑ ΠΙΟ ΕΞΥΠΝΟ!! ΜΕ ΒΟΗΘΗΣΕ ΚΑΙ ΜΕ TA ΠΡΟΒΛΗΜΑΤΑ ΜΕ ΤΗ ΜΑΣΚΑΡΑ ΜΟΥ!! ΚΑΘΩΣ ΚΑΙ ΜΕ ΤΑ ΚΑΝΟΝΙΚΑ ΜΟΥ ΜΑΘΗΜΑΤΑ! ΞΕΚΑΘΑΡΑ 😍😁😲🤑💗✨🎀😮
Μαριλου
χρήστης Android
Η εφαρμογή αυτή είναι τέλεια Αν έχεις κάποια κενά ή κάποιος καθηγητής/καθηγητριά σου (ιδιαίτερα αν πας σε δημόσιο ) δεν κάνει καλό μάθημα ή δεν μπορείς να καταλάβεις το so σε βοηθάει με ερωτήσεις και μπορείς να βρεις πολλές σημειώσεις σε μαθήματα από άλλους μαθητές. Εγώ που δυσκολεύομαι με κάποια μαθήματα αυτή η εφαρμογή με έχει βοηθήσει να τα κατανοήσω όσο καλύτερα μπορώ
Thenia
χρήστης iOS
Η εφαρμογή είναι πολύ εύκολη στη χρήση και καλά σχεδιασμένη. Έχω βρει ό,τι έψαχνα μέχρι τώρα και έχω μάθει πολλά από τις παρουσιάσεις! Σίγουρα θα χρησιμοποιήσω την εφαρμογή για μια εργασία του μαθήματος! Και φυσικά βοηθάει πολύ και ως έμπνευση.
Στέφαν Σ
χρήστης iOS
Αυτή η εφαρμογή είναι πραγματικά τέλεια. Υπάρχουν τόσες πολλές σημειώσεις μελέτης και βοήθεια [...]. Το μάθημα που με δυσκολεύει είναι τα Γαλλικά, για παράδειγμα, και η εφαρμογή έχει τόσες επιλογές για βοήθεια. Χάρη σε αυτή την εφαρμογή, έχω βελτιώσει τα Γαλλικά μου. Θα την πρότεινα σε οποιονδήποτε.
Σαμάνθα Κλιχ
χρήστης Android
Ουάου, είμαι πραγματικά εντυπωσιασμένος. Δοκίμασα την εφαρμογή επειδή την είδα διαφημισμένη πολλές φορές και έμεινα άφωνος. Αυτή η εφαρμογή είναι Η ΒΟΗΘΕΙΑ που χρειάζεσαι για το σχολείο και πάνω απ' όλα, προσφέρει τόσα πράγματα, όπως ασκήσεις και φύλλα γεγονότων, που ήταν ΠΟΛΥ χρήσιμα για μένα προσωπικά.
Άννα
χρήστης iOS
Το Knowunity είναι ότι πρέπει Για μαθητές οι οποίοι όντως έχουν την θέληση για μάθηση καθώς δεν είναι σαν τις άλλες εφαρμογές που σου δίνουν απευθείας την λύση όμως σου εξηγούν λεπτομερώς και την σημασία – νόημα αυτού του οποίου ψάχνεις ! Καταπληκτική εφεύρεση ! Ένας από τους λόγους για τον οποίο χαίρομαι που Η τεχνητή νοημοσύνη εξελίσσεται .
Φασαια
χρήστης iOS
τέλειοοο
Λίζα Μ
χρήστης Android
Αυτή η εφαρμογή με έχει κάνει τα θέλω να διαβάζω με βοηθάει πάρα πολύ
Καμαρινός Γ
χρήστης iOS
Η εφαρμογή είναι τέλεια! Το μόνο που χρειάζεται να κάνω είναι να εισάγω το θέμα στη γραμμή αναζήτησης και παίρνω την απάντηση πολύ γρήγορα. Δεν χρειάζεται να παρακολουθήσω 10 βίντεο στο YouTube για να καταλάβω κάτι, άρα εξοικονομώ χρόνο. Τη συνιστώ ανεπιφύλακτα!
Sudenaz Ocak
χρήστης Android
Στο σχολείο ήμουν πολύ κακός στα μαθηματικά, αλλά χάρη στην εφαρμογή τα πάω καλύτερα τώρα. Είμαι τόσο ευγνώμων που δημιούργησες την εφαρμογή.
Greenlight Bonnie
χρήστης Android
Το καλύτερο που υπάρχει αυτό έχω να πω εγώ
Τζούλια Σ
χρήστης Android
με βοηθάει πάρα πολύ στα μαθήματα πρέπει να το κατεβάσετε είναι ότι καλύτερο
Αγγο
χρήστης iOS
ΤΑ ΚΟΥΙΖ ΚΑΙ ΟΙ ΚΑΡΤΕΣ ΜΝΗΜΗΣ ΕΙΝΑΙ ΤΟΣΟ ΧΡΗΣΙΜΑ ΚΑΙ ΛΑΤΡΕΥΩ ΤΟ Knowunity ΤΝ. ΕΙΝΑΙ ΚΥΡΙΟΛΕΚΤΙΚΑ ΣΑΝ ΤΟ CHATGPT ΑΛΛΑ ΠΙΟ ΕΞΥΠΝΟ!! ΜΕ ΒΟΗΘΗΣΕ ΚΑΙ ΜΕ TA ΠΡΟΒΛΗΜΑΤΑ ΜΕ ΤΗ ΜΑΣΚΑΡΑ ΜΟΥ!! ΚΑΘΩΣ ΚΑΙ ΜΕ ΤΑ ΚΑΝΟΝΙΚΑ ΜΟΥ ΜΑΘΗΜΑΤΑ! ΞΕΚΑΘΑΡΑ 😍😁😲🤑💗✨🎀😮
Μαριλου
χρήστης Android
Η εφαρμογή αυτή είναι τέλεια Αν έχεις κάποια κενά ή κάποιος καθηγητής/καθηγητριά σου (ιδιαίτερα αν πας σε δημόσιο ) δεν κάνει καλό μάθημα ή δεν μπορείς να καταλάβεις το so σε βοηθάει με ερωτήσεις και μπορείς να βρεις πολλές σημειώσεις σε μαθήματα από άλλους μαθητές. Εγώ που δυσκολεύομαι με κάποια μαθήματα αυτή η εφαρμογή με έχει βοηθήσει να τα κατανοήσω όσο καλύτερα μπορώ
Thenia
χρήστης iOS