Οι διαμοριακές δυνάμεις είναι το κλειδί για να καταλάβεις γιατί... Δες περισσότερα
Κάνε εγγραφή για να δεις το ΠΕΡΙΕΧΟΜΕΝΟΕίναι δωρεάν!
Πρόσβαση σε όλα τα έγγραφα
Βελτίωσε τους βαθμούς σου
Γίνε μέλος με εκατομμύρια μαθητές
Knowunity AI
Περισσότερα
Μαθήματα
Triangle Congruence and Similarity Theorems
Triangle Properties and Classification
Linear Equations and Graphs
Geometric Angle Relationships
Trigonometric Functions and Identities
Equation Solving Techniques
Circle Geometry Fundamentals
Division Operations and Methods
Basic Differentiation Rules
Exponent and Logarithm Properties
Δείξε όλα τα θέματα
Human Organ Systems
Reproductive Cell Cycles
Biological Sciences Subdisciplines
Cellular Energy Metabolism
Autotrophic Energy Processes
Inheritance Patterns and Principles
Biomolecular Structure and Organization
Cell Cycle and Division Mechanics
Cellular Organization and Development
Biological Structural Organization
Δείξε όλα τα θέματα
Chemical Sciences and Applications
Atomic Structure and Composition
Molecular Electron Structure Representation
Atomic Electron Behavior
Matter Properties and Water
Mole Concept and Calculations
Gas Laws and Behavior
Periodic Table Organization
Chemical Thermodynamics Fundamentals
Chemical Bond Types and Properties
Δείξε όλα τα θέματα
European Renaissance and Enlightenment
European Cultural Movements 800-1920
American Revolution Era 1763-1797
American Civil War 1861-1865
Global Imperial Systems
Mongol and Chinese Dynasties
U.S. Presidents and World Leaders
Historical Sources and Documentation
World Wars Era and Impact
World Religious Systems
Δείξε όλα τα θέματα
Classic and Contemporary Novels
Literary Character Analysis
Rhetorical Theory and Practice
Classic Literary Narratives
Reading Analysis and Interpretation
Narrative Structure and Techniques
English Language Components
Influential English-Language Authors
Basic Sentence Structure
Narrative Voice and Perspective
Δείξε όλα τα θέματα
1,164
•
Ενημερώθηκε Apr 27, 2026
•
xristidis xristos
@xr1stos
Οι διαμοριακές δυνάμεις είναι το κλειδί για να καταλάβεις γιατί... Δες περισσότερα






































Ο ιοντικός δεσμός είναι σαν έλξη μαγνήτη - τα θετικά κατιόντα (μέταλλα) και τα αρνητικά ανιόντα (αμέταλλα) έλκονται με δυνάμεις Coulomb. Η ιοντική ένωση που προκύπτει είναι πάντα ηλεκτρικά ουδέτερη.
Για να γράψεις σωστά έναν χημικό τύπο, βάζεις τα φορτία των ιόντων χιαστί ως δείκτες. Για παράδειγμα, το Ca²⁺ με το PO₄³⁻ δίνει Ca₃(PO₄)₂ - τρία ασβέστια για κάθε δύο φωσφορικά!
Σημείωση: Ο ευκολότερος τρόπος να εντοπίσεις ιοντική ένωση είναι να ψάξεις για μέταλλο ή πολυατομικό κατιόν.
Ο ομοιοπολικός δεσμός λειτουργεί με «μοίρασμα» - δύο αμέταλλα μοιράζονται ηλεκτρόνια και δημιουργούν κοινά ζεύγη που τα κρατούν ενωμένα σε μόρια.

Στην πράξη, η διαδικασία είναι απλή: παίρνεις το φορτίο του ενός ιόντος και το βάζεις ως δείκτη στο άλλο. Το NH₄⁺ με το CO₃²⁻ γίνεται (NH₄)₂CO₃.
Όταν τα φορτία είναι ίσα (π.χ. Mg²⁺ και S²⁻), η αναλογία είναι 1:1 και παίρνεις MgS. Ο δείκτης 1 πάντα παραλείπεται στους χημικούς τύπους.
Προσοχή: Τα ανιόντα οργανικών ενώσεων (όπως CH₃COO⁻) γράφονται πρώτα, οπότε παίρνεις (CH₃COO)₂Mg αντί για Mg(CH₃COO)₂.
Αυτή η μέθοδος δουλεύει πάντα - απλά θυμήσου ότι το συνολικό θετικό φορτίο πρέπει να ισούται με το συνολικό αρνητικό.

Στον ομοιοπολικό δεσμό, τα αμέταλλα συνεισφέρουν ηλεκτρόνια και δημιουργούν κοινά ζεύγη ηλεκτρονίων. Αυτά τα ζεύγη έλκονται από τα δύο άτομα και τα κρατούν ενωμένα.
Η ηλεκτραρνητικότητα είναι η τάση ενός ατόμου να "κλέβει" ηλεκτρόνια. Η σειρά που πρέπει να θυμάσαι: F > O > N, Cl > Br > S, I, C > P > H.
Tip για εξετάσεις: Όταν δύο άτομα έχουν διαφορετική ηλεκτραρνητικότητα, το πιο ηλεκτραρνητικό "τραβάει" περισσότερο τα ηλεκτρόνια.
Αυτό οδηγεί σε πολικούς δεσμούς όπου υπάρχει μικρό θετικό φορτίο δ⁺ στο H και μικρό αρνητικό δ⁻ στο Cl.

Η διπολική ροπή μ μετράει πόσο "πολικός" είναι ένας δεσμός. Είναι διάνυσμα που δείχνει από το δ⁺ προς το δ⁻ άτομο, με τύπο μ = q·r.
Έχεις μη-πολικούς δεσμούς όταν τα άτομα είναι ίδια (H₂, O₂, N₂) - ίδια ηλεκτραρνητικότητα σημαίνει ίδια "τράβηγμα" των ηλεκτρονίων.
Αντίθετα, οι πολικοί δεσμοί (HCl, NO, CO) έχουν διαφορετική ηλεκτραρνητικότητα, οπότε το πιο ηλεκτραρνητικό άτομο γίνεται δ⁻ και το λιγότερο ηλεκτραρνητικό δ⁺.
Σημείωση: Όσο μεγαλύτερη η διαφορά ηλεκτραρνητικότητας, τόσο μεγαλύτερη η διπολική ροπή του δεσμού.

Η διπολική ροπή ενός ολόκληρου μορίου εξαρτάται από δύο πράγματα: την πολικότητα των δεσμών και τη γεωμετρία του μορίου.
Γραμμικά μόρια όπως το CO₂ είναι άπολα (μολ = 0) γιατί οι διπολικές ροπές των δεσμών αλληλοαναιρούνται. Το ίδιο συμβαίνει με το επίπεδο τριγωνικό BF₃ και το τετραεδρικό CH₄.
Αντίθετα, τα κεκαμμένα μόρια (H₂O), οι τριγωνικές πυραμίδες (NH₃) είναι πολικά γιατί οι διπολικές ροπές δεν αναιρούνται λόγω της ασύμμετρης γεωμετρίας.
Κανόνας: Αν τα άτομα γύρω από το κεντρικό δεν είναι όλα ίδια (π.χ. AX₂Y), το μόριο θα είναι πάντα πολικό!

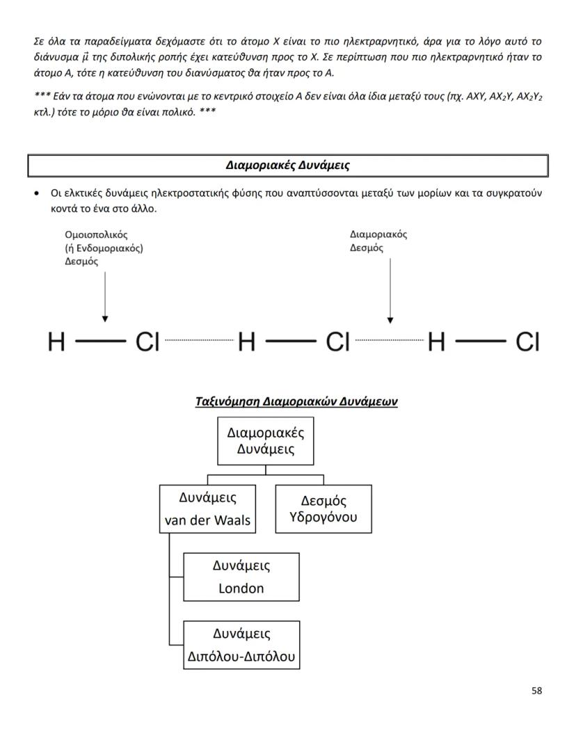
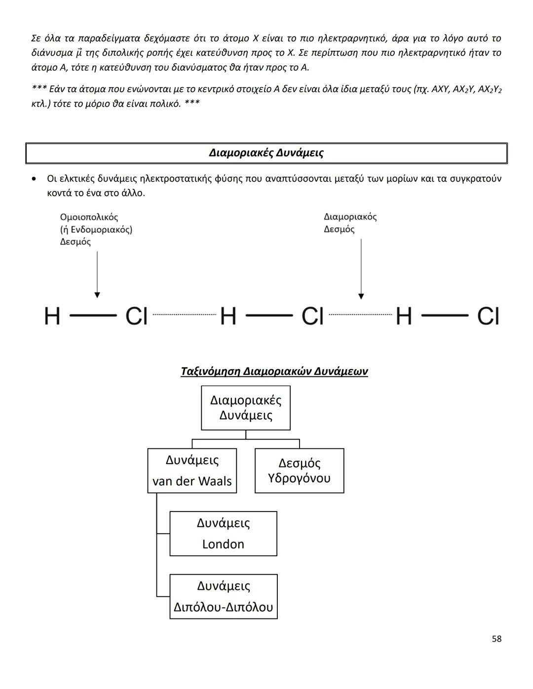
Οι διαμοριακές δυνάμεις είναι οι ελκτικές δυνάμεις που κρατούν τα μόρια κοντά. Είναι πολύ ασθενέστερες από τους ομοιοπολικούς δεσμούς που κρατούν τα άτομα μέσα στο μόριο.
Φαντάσου το HCl: ο ομοιοπολικός δεσμός H-Cl κρατάει το άτομο H με το Cl, ενώ οι διαμοριακές δυνάμεις κρατούν τα διαφορετικά μόρια HCl κοντά μεταξύ τους.
Σημείωση: Οι διαμοριακές δυνάμεις χωρίζονται σε τρεις κατηγορίες - δυνάμεις London, διπόλου-διπόλου και δεσμό υδρογόνου.
Αυτές οι δυνάμεις εξηγούν γιατί ορισμένες ουσίες είναι στερεές, άλλες υγρές και άλλες αέρια στη θερμοκρασία δωματίου.

Οι δυνάμεις London (διασποράς) είναι παντού! Οφείλονται στην κίνηση των ηλεκτρονίων που δημιουργεί παροδικά δίπολα. Όσο μεγαλύτερο το μοριακό βάρος Mr, τόσα περισσότερα ηλεκτρόνια και τόσο ισχυρότερες οι δυνάμεις London.
Οι δυνάμεις διπόλου-διπόλου αναπτύσσονται μόνο μεταξύ πολικών μορίων. Όσο μεγαλύτερη η διπολική ροπή, τόσο ισχυρότερες οι δυνάμεις.
Ο δεσμός υδρογόνου είναι ο "σταρ" των διαμοριακών δυνάμεων. Χρειάζεται H συνδεδεμένο με F, O ή N σε ένα μόριο, και F, O ή N με μη-δεσμικά ζεύγη σε άλλο μόριο.
Γιατί F, O, N;: Έχουν μεγάλη ηλεκτραρνητικότητα, μικρή ατομική ακτίνα και φέρουν μη-δεσμικά ζεύγη ηλεκτρονίων.

Το νερό (H₂O) σχηματίζει 4 δεσμούς υδρογόνου ανά μόριο - 2 από το κάθε H και 2 από τα μη-δεσμικά ζεύγη του O. Αυτό εξηγεί το υψηλό σημείο ζέσης του!
Τα HF, οι αλκοόλες και οι αμίνες σχηματίζουν 2 δεσμούς υδρογόνου ανά μόριο ή ανά λειτουργική ομάδα.
Τα καρβοξυλικά οξέα σχηματίζουν διμερή με δύο δεσμούς υδρογόνου μεταξύ δύο μορίων, δημιουργώντας εξαιρετικά σταθερές δομές.
Κανόνας: Για κάθε H που "δίνει" δεσμό υδρογόνου, πρέπει να υπάρχει ένα μη-δεσμικό ζεύγος που τον "δέχεται".

Ο δεσμός υδρογόνου εξηγεί γιατί ο πάγος επιπλέει (λιγότερο πυκνός από το υγρό νερό) και γιατί οι κατώτερες αλκοόλες διαλύονται τόσο καλά στο νερό.
Η ισχύς των δεσμών ακολουθεί τη σειρά: Ιοντικός, Ομοιοπολικός > Δεσμός Υδρογόνου > Διπόλου-Διπόλου, London.
Όμως προσοχή! Όταν δύο ενώσεις έχουν πολύ διαφορετικό Mr (η μία διπλάσια από την άλλη), οι δυνάμεις London μπορεί να γίνουν ισχυρότερες από τις διπόλου-διπόλου.
Παράδειγμα: Το HBr έχει και London και διπόλου-διπόλου, ενώ το Br₂ μόνο London - αλλά το Br₂ έχει ισχυρότερες συνολικές διαμοριακές δυνάμεις!
Οι δυνάμεις ιόντος-διπόλου (π.χ. στις σύμπλοκες ενώσεις) εξαρτώνται από το φορτίο και το μέγεθος του ιόντος.

Οι διαμοριακές δυνάμεις καθορίζουν τη φυσική κατάσταση: ισχυρές στα στερεά, ασθενείς στα υγρά, αμελητέες στα αέρια.
Η διαλυτότητα ακολουθεί τον κανόνα "τα όμοια διαλύουν όμοια" - πολικές ουσίες σε πολικούς διαλύτες, άπολες σε άπολους.
Το σημείο ζέσης αυξάνεται με την ισχύ των διαμοριακών δυνάμεων. Γι' αυτό το νερό (δεσμοί Η) βράζει στους 100°C ενώ το μεθάνιο (μόνο London) στους -162°C!
Πρακτική εφαρμογή: Όσο ισχυρότερες οι διαμοριακές δυνάμεις, τόσο πιο δύσκολα "σπάνε" τα μόρια για να γίνουν αέριο - άρα υψηλότερο σημείο ζέσης!
Η υγροποίηση των αερίων επίσης γίνεται ευκολότερη όσο ισχυρότερες είναι οι διαμοριακές δυνάμεις.



























Ο AI σύντροφός μας είναι ειδικά σχεδιασμένος για τις ανάγκες των μαθητών. Βασισμένοι στα εκατομμύρια κομμάτια Περιεχομένων που έχουμε στην πλατφόρμα, μπορούμε να παρέχουμε πραγματικά ουσιαστικές και σχετικές απαντήσεις στους μαθητές. Αλλά δεν αφορά μόνο τις απαντήσεις, ο σύντροφος είναι ακόμη περισσότερο για την καθοδήγηση των μαθητών στις καθημερινές τους μαθησιακές προκλήσεις, με εξατομικευμένα προγράμματα μελέτης, κουίζ ή Περιεχόμενα στη Συνομιλία και 100% εξατομίκευση βασισμένη στις δεξιότητες και την ανάπτυξη των μαθητών.
Μπορείτε να κατεβάσετε την εφαρμογή από το Google Play Store και το Apple App Store.
Ναι, έχετε δωρεάν πρόσβαση στο περιεχόμενο της εφαρμογής και στον AI companion μας. Για να ξεκλειδώσετε ορισμένες λειτουργίες της εφαρμογής, μπορείτε να αγοράσετε το Knowunity Pro.
App Store
Google Play
Η εφαρμογή είναι πολύ εύκολη στη χρήση και καλά σχεδιασμένη. Έχω βρει ό,τι έψαχνα μέχρι τώρα και έχω μάθει πολλά από τις παρουσιάσεις! Σίγουρα θα χρησιμοποιήσω την εφαρμογή για μια εργασία του μαθήματος! Και φυσικά βοηθάει πολύ και ως έμπνευση.
Στέφαν Σ
χρήστης iOS
Αυτή η εφαρμογή είναι πραγματικά τέλεια. Υπάρχουν τόσες πολλές σημειώσεις μελέτης και βοήθεια [...]. Το μάθημα που με δυσκολεύει είναι τα Γαλλικά, για παράδειγμα, και η εφαρμογή έχει τόσες επιλογές για βοήθεια. Χάρη σε αυτή την εφαρμογή, έχω βελτιώσει τα Γαλλικά μου. Θα την πρότεινα σε οποιονδήποτε.
Σαμάνθα Κλιχ
χρήστης Android
Ουάου, είμαι πραγματικά εντυπωσιασμένος. Δοκίμασα την εφαρμογή επειδή την είδα διαφημισμένη πολλές φορές και έμεινα άφωνος. Αυτή η εφαρμογή είναι Η ΒΟΗΘΕΙΑ που χρειάζεσαι για το σχολείο και πάνω απ' όλα, προσφέρει τόσα πράγματα, όπως ασκήσεις και φύλλα γεγονότων, που ήταν ΠΟΛΥ χρήσιμα για μένα προσωπικά.
Άννα
χρήστης iOS
Το Knowunity είναι ότι πρέπει Για μαθητές οι οποίοι όντως έχουν την θέληση για μάθηση καθώς δεν είναι σαν τις άλλες εφαρμογές που σου δίνουν απευθείας την λύση όμως σου εξηγούν λεπτομερώς και την σημασία – νόημα αυτού του οποίου ψάχνεις ! Καταπληκτική εφεύρεση ! Ένας από τους λόγους για τον οποίο χαίρομαι που Η τεχνητή νοημοσύνη εξελίσσεται .
Φασαια
χρήστης iOS
τέλειοοο
Λίζα Μ
χρήστης Android
Αυτή η εφαρμογή με έχει κάνει τα θέλω να διαβάζω με βοηθάει πάρα πολύ
Καμαρινός Γ
χρήστης iOS
Η εφαρμογή είναι τέλεια! Το μόνο που χρειάζεται να κάνω είναι να εισάγω το θέμα στη γραμμή αναζήτησης και παίρνω την απάντηση πολύ γρήγορα. Δεν χρειάζεται να παρακολουθήσω 10 βίντεο στο YouTube για να καταλάβω κάτι, άρα εξοικονομώ χρόνο. Τη συνιστώ ανεπιφύλακτα!
Sudenaz Ocak
χρήστης Android
Στο σχολείο ήμουν πολύ κακός στα μαθηματικά, αλλά χάρη στην εφαρμογή τα πάω καλύτερα τώρα. Είμαι τόσο ευγνώμων που δημιούργησες την εφαρμογή.
Greenlight Bonnie
χρήστης Android
Το καλύτερο που υπάρχει αυτό έχω να πω εγώ
Τζούλια Σ
χρήστης Android
με βοηθάει πάρα πολύ στα μαθήματα πρέπει να το κατεβάσετε είναι ότι καλύτερο
Αγγο
χρήστης iOS
ΤΑ ΚΟΥΙΖ ΚΑΙ ΟΙ ΚΑΡΤΕΣ ΜΝΗΜΗΣ ΕΙΝΑΙ ΤΟΣΟ ΧΡΗΣΙΜΑ ΚΑΙ ΛΑΤΡΕΥΩ ΤΟ Knowunity ΤΝ. ΕΙΝΑΙ ΚΥΡΙΟΛΕΚΤΙΚΑ ΣΑΝ ΤΟ CHATGPT ΑΛΛΑ ΠΙΟ ΕΞΥΠΝΟ!! ΜΕ ΒΟΗΘΗΣΕ ΚΑΙ ΜΕ TA ΠΡΟΒΛΗΜΑΤΑ ΜΕ ΤΗ ΜΑΣΚΑΡΑ ΜΟΥ!! ΚΑΘΩΣ ΚΑΙ ΜΕ ΤΑ ΚΑΝΟΝΙΚΑ ΜΟΥ ΜΑΘΗΜΑΤΑ! ΞΕΚΑΘΑΡΑ 😍😁😲🤑💗✨🎀😮
Μαριλου
χρήστης Android
Η εφαρμογή αυτή είναι τέλεια Αν έχεις κάποια κενά ή κάποιος καθηγητής/καθηγητριά σου (ιδιαίτερα αν πας σε δημόσιο ) δεν κάνει καλό μάθημα ή δεν μπορείς να καταλάβεις το so σε βοηθάει με ερωτήσεις και μπορείς να βρεις πολλές σημειώσεις σε μαθήματα από άλλους μαθητές. Εγώ που δυσκολεύομαι με κάποια μαθήματα αυτή η εφαρμογή με έχει βοηθήσει να τα κατανοήσω όσο καλύτερα μπορώ
Thenia
χρήστης iOS
Η εφαρμογή είναι πολύ εύκολη στη χρήση και καλά σχεδιασμένη. Έχω βρει ό,τι έψαχνα μέχρι τώρα και έχω μάθει πολλά από τις παρουσιάσεις! Σίγουρα θα χρησιμοποιήσω την εφαρμογή για μια εργασία του μαθήματος! Και φυσικά βοηθάει πολύ και ως έμπνευση.
Στέφαν Σ
χρήστης iOS
Αυτή η εφαρμογή είναι πραγματικά τέλεια. Υπάρχουν τόσες πολλές σημειώσεις μελέτης και βοήθεια [...]. Το μάθημα που με δυσκολεύει είναι τα Γαλλικά, για παράδειγμα, και η εφαρμογή έχει τόσες επιλογές για βοήθεια. Χάρη σε αυτή την εφαρμογή, έχω βελτιώσει τα Γαλλικά μου. Θα την πρότεινα σε οποιονδήποτε.
Σαμάνθα Κλιχ
χρήστης Android
Ουάου, είμαι πραγματικά εντυπωσιασμένος. Δοκίμασα την εφαρμογή επειδή την είδα διαφημισμένη πολλές φορές και έμεινα άφωνος. Αυτή η εφαρμογή είναι Η ΒΟΗΘΕΙΑ που χρειάζεσαι για το σχολείο και πάνω απ' όλα, προσφέρει τόσα πράγματα, όπως ασκήσεις και φύλλα γεγονότων, που ήταν ΠΟΛΥ χρήσιμα για μένα προσωπικά.
Άννα
χρήστης iOS
Το Knowunity είναι ότι πρέπει Για μαθητές οι οποίοι όντως έχουν την θέληση για μάθηση καθώς δεν είναι σαν τις άλλες εφαρμογές που σου δίνουν απευθείας την λύση όμως σου εξηγούν λεπτομερώς και την σημασία – νόημα αυτού του οποίου ψάχνεις ! Καταπληκτική εφεύρεση ! Ένας από τους λόγους για τον οποίο χαίρομαι που Η τεχνητή νοημοσύνη εξελίσσεται .
Φασαια
χρήστης iOS
τέλειοοο
Λίζα Μ
χρήστης Android
Αυτή η εφαρμογή με έχει κάνει τα θέλω να διαβάζω με βοηθάει πάρα πολύ
Καμαρινός Γ
χρήστης iOS
Η εφαρμογή είναι τέλεια! Το μόνο που χρειάζεται να κάνω είναι να εισάγω το θέμα στη γραμμή αναζήτησης και παίρνω την απάντηση πολύ γρήγορα. Δεν χρειάζεται να παρακολουθήσω 10 βίντεο στο YouTube για να καταλάβω κάτι, άρα εξοικονομώ χρόνο. Τη συνιστώ ανεπιφύλακτα!
Sudenaz Ocak
χρήστης Android
Στο σχολείο ήμουν πολύ κακός στα μαθηματικά, αλλά χάρη στην εφαρμογή τα πάω καλύτερα τώρα. Είμαι τόσο ευγνώμων που δημιούργησες την εφαρμογή.
Greenlight Bonnie
χρήστης Android
Το καλύτερο που υπάρχει αυτό έχω να πω εγώ
Τζούλια Σ
χρήστης Android
με βοηθάει πάρα πολύ στα μαθήματα πρέπει να το κατεβάσετε είναι ότι καλύτερο
Αγγο
χρήστης iOS
ΤΑ ΚΟΥΙΖ ΚΑΙ ΟΙ ΚΑΡΤΕΣ ΜΝΗΜΗΣ ΕΙΝΑΙ ΤΟΣΟ ΧΡΗΣΙΜΑ ΚΑΙ ΛΑΤΡΕΥΩ ΤΟ Knowunity ΤΝ. ΕΙΝΑΙ ΚΥΡΙΟΛΕΚΤΙΚΑ ΣΑΝ ΤΟ CHATGPT ΑΛΛΑ ΠΙΟ ΕΞΥΠΝΟ!! ΜΕ ΒΟΗΘΗΣΕ ΚΑΙ ΜΕ TA ΠΡΟΒΛΗΜΑΤΑ ΜΕ ΤΗ ΜΑΣΚΑΡΑ ΜΟΥ!! ΚΑΘΩΣ ΚΑΙ ΜΕ ΤΑ ΚΑΝΟΝΙΚΑ ΜΟΥ ΜΑΘΗΜΑΤΑ! ΞΕΚΑΘΑΡΑ 😍😁😲🤑💗✨🎀😮
Μαριλου
χρήστης Android
Η εφαρμογή αυτή είναι τέλεια Αν έχεις κάποια κενά ή κάποιος καθηγητής/καθηγητριά σου (ιδιαίτερα αν πας σε δημόσιο ) δεν κάνει καλό μάθημα ή δεν μπορείς να καταλάβεις το so σε βοηθάει με ερωτήσεις και μπορείς να βρεις πολλές σημειώσεις σε μαθήματα από άλλους μαθητές. Εγώ που δυσκολεύομαι με κάποια μαθήματα αυτή η εφαρμογή με έχει βοηθήσει να τα κατανοήσω όσο καλύτερα μπορώ
Thenia
χρήστης iOS
xristidis xristos
@xr1stos
Οι διαμοριακές δυνάμεις είναι το κλειδί για να καταλάβεις γιατί το νερό βράζει στους 100°C ενώ το μεθάνιο στους -162°C! Αυτές οι «αόρατες» δυνάμεις καθορίζουν τις φυσικές ιδιότητες όλων των ουσιών γύρω μας.

Πρόσβαση σε όλα τα έγγραφα
Βελτίωσε τους βαθμούς σου
Γίνε μέλος με εκατομμύρια μαθητές
Ο ιοντικός δεσμός είναι σαν έλξη μαγνήτη - τα θετικά κατιόντα (μέταλλα) και τα αρνητικά ανιόντα (αμέταλλα) έλκονται με δυνάμεις Coulomb. Η ιοντική ένωση που προκύπτει είναι πάντα ηλεκτρικά ουδέτερη.
Για να γράψεις σωστά έναν χημικό τύπο, βάζεις τα φορτία των ιόντων χιαστί ως δείκτες. Για παράδειγμα, το Ca²⁺ με το PO₄³⁻ δίνει Ca₃(PO₄)₂ - τρία ασβέστια για κάθε δύο φωσφορικά!
Σημείωση: Ο ευκολότερος τρόπος να εντοπίσεις ιοντική ένωση είναι να ψάξεις για μέταλλο ή πολυατομικό κατιόν.
Ο ομοιοπολικός δεσμός λειτουργεί με «μοίρασμα» - δύο αμέταλλα μοιράζονται ηλεκτρόνια και δημιουργούν κοινά ζεύγη που τα κρατούν ενωμένα σε μόρια.

Πρόσβαση σε όλα τα έγγραφα
Βελτίωσε τους βαθμούς σου
Γίνε μέλος με εκατομμύρια μαθητές
Στην πράξη, η διαδικασία είναι απλή: παίρνεις το φορτίο του ενός ιόντος και το βάζεις ως δείκτη στο άλλο. Το NH₄⁺ με το CO₃²⁻ γίνεται (NH₄)₂CO₃.
Όταν τα φορτία είναι ίσα (π.χ. Mg²⁺ και S²⁻), η αναλογία είναι 1:1 και παίρνεις MgS. Ο δείκτης 1 πάντα παραλείπεται στους χημικούς τύπους.
Προσοχή: Τα ανιόντα οργανικών ενώσεων (όπως CH₃COO⁻) γράφονται πρώτα, οπότε παίρνεις (CH₃COO)₂Mg αντί για Mg(CH₃COO)₂.
Αυτή η μέθοδος δουλεύει πάντα - απλά θυμήσου ότι το συνολικό θετικό φορτίο πρέπει να ισούται με το συνολικό αρνητικό.

Πρόσβαση σε όλα τα έγγραφα
Βελτίωσε τους βαθμούς σου
Γίνε μέλος με εκατομμύρια μαθητές
Στον ομοιοπολικό δεσμό, τα αμέταλλα συνεισφέρουν ηλεκτρόνια και δημιουργούν κοινά ζεύγη ηλεκτρονίων. Αυτά τα ζεύγη έλκονται από τα δύο άτομα και τα κρατούν ενωμένα.
Η ηλεκτραρνητικότητα είναι η τάση ενός ατόμου να "κλέβει" ηλεκτρόνια. Η σειρά που πρέπει να θυμάσαι: F > O > N, Cl > Br > S, I, C > P > H.
Tip για εξετάσεις: Όταν δύο άτομα έχουν διαφορετική ηλεκτραρνητικότητα, το πιο ηλεκτραρνητικό "τραβάει" περισσότερο τα ηλεκτρόνια.
Αυτό οδηγεί σε πολικούς δεσμούς όπου υπάρχει μικρό θετικό φορτίο δ⁺ στο H και μικρό αρνητικό δ⁻ στο Cl.

Πρόσβαση σε όλα τα έγγραφα
Βελτίωσε τους βαθμούς σου
Γίνε μέλος με εκατομμύρια μαθητές
Η διπολική ροπή μ μετράει πόσο "πολικός" είναι ένας δεσμός. Είναι διάνυσμα που δείχνει από το δ⁺ προς το δ⁻ άτομο, με τύπο μ = q·r.
Έχεις μη-πολικούς δεσμούς όταν τα άτομα είναι ίδια (H₂, O₂, N₂) - ίδια ηλεκτραρνητικότητα σημαίνει ίδια "τράβηγμα" των ηλεκτρονίων.
Αντίθετα, οι πολικοί δεσμοί (HCl, NO, CO) έχουν διαφορετική ηλεκτραρνητικότητα, οπότε το πιο ηλεκτραρνητικό άτομο γίνεται δ⁻ και το λιγότερο ηλεκτραρνητικό δ⁺.
Σημείωση: Όσο μεγαλύτερη η διαφορά ηλεκτραρνητικότητας, τόσο μεγαλύτερη η διπολική ροπή του δεσμού.

Πρόσβαση σε όλα τα έγγραφα
Βελτίωσε τους βαθμούς σου
Γίνε μέλος με εκατομμύρια μαθητές
Η διπολική ροπή ενός ολόκληρου μορίου εξαρτάται από δύο πράγματα: την πολικότητα των δεσμών και τη γεωμετρία του μορίου.
Γραμμικά μόρια όπως το CO₂ είναι άπολα (μολ = 0) γιατί οι διπολικές ροπές των δεσμών αλληλοαναιρούνται. Το ίδιο συμβαίνει με το επίπεδο τριγωνικό BF₃ και το τετραεδρικό CH₄.
Αντίθετα, τα κεκαμμένα μόρια (H₂O), οι τριγωνικές πυραμίδες (NH₃) είναι πολικά γιατί οι διπολικές ροπές δεν αναιρούνται λόγω της ασύμμετρης γεωμετρίας.
Κανόνας: Αν τα άτομα γύρω από το κεντρικό δεν είναι όλα ίδια (π.χ. AX₂Y), το μόριο θα είναι πάντα πολικό!

Πρόσβαση σε όλα τα έγγραφα
Βελτίωσε τους βαθμούς σου
Γίνε μέλος με εκατομμύρια μαθητές
Οι διαμοριακές δυνάμεις είναι οι ελκτικές δυνάμεις που κρατούν τα μόρια κοντά. Είναι πολύ ασθενέστερες από τους ομοιοπολικούς δεσμούς που κρατούν τα άτομα μέσα στο μόριο.
Φαντάσου το HCl: ο ομοιοπολικός δεσμός H-Cl κρατάει το άτομο H με το Cl, ενώ οι διαμοριακές δυνάμεις κρατούν τα διαφορετικά μόρια HCl κοντά μεταξύ τους.
Σημείωση: Οι διαμοριακές δυνάμεις χωρίζονται σε τρεις κατηγορίες - δυνάμεις London, διπόλου-διπόλου και δεσμό υδρογόνου.
Αυτές οι δυνάμεις εξηγούν γιατί ορισμένες ουσίες είναι στερεές, άλλες υγρές και άλλες αέρια στη θερμοκρασία δωματίου.

Πρόσβαση σε όλα τα έγγραφα
Βελτίωσε τους βαθμούς σου
Γίνε μέλος με εκατομμύρια μαθητές
Οι δυνάμεις London (διασποράς) είναι παντού! Οφείλονται στην κίνηση των ηλεκτρονίων που δημιουργεί παροδικά δίπολα. Όσο μεγαλύτερο το μοριακό βάρος Mr, τόσα περισσότερα ηλεκτρόνια και τόσο ισχυρότερες οι δυνάμεις London.
Οι δυνάμεις διπόλου-διπόλου αναπτύσσονται μόνο μεταξύ πολικών μορίων. Όσο μεγαλύτερη η διπολική ροπή, τόσο ισχυρότερες οι δυνάμεις.
Ο δεσμός υδρογόνου είναι ο "σταρ" των διαμοριακών δυνάμεων. Χρειάζεται H συνδεδεμένο με F, O ή N σε ένα μόριο, και F, O ή N με μη-δεσμικά ζεύγη σε άλλο μόριο.
Γιατί F, O, N;: Έχουν μεγάλη ηλεκτραρνητικότητα, μικρή ατομική ακτίνα και φέρουν μη-δεσμικά ζεύγη ηλεκτρονίων.

Πρόσβαση σε όλα τα έγγραφα
Βελτίωσε τους βαθμούς σου
Γίνε μέλος με εκατομμύρια μαθητές
Το νερό (H₂O) σχηματίζει 4 δεσμούς υδρογόνου ανά μόριο - 2 από το κάθε H και 2 από τα μη-δεσμικά ζεύγη του O. Αυτό εξηγεί το υψηλό σημείο ζέσης του!
Τα HF, οι αλκοόλες και οι αμίνες σχηματίζουν 2 δεσμούς υδρογόνου ανά μόριο ή ανά λειτουργική ομάδα.
Τα καρβοξυλικά οξέα σχηματίζουν διμερή με δύο δεσμούς υδρογόνου μεταξύ δύο μορίων, δημιουργώντας εξαιρετικά σταθερές δομές.
Κανόνας: Για κάθε H που "δίνει" δεσμό υδρογόνου, πρέπει να υπάρχει ένα μη-δεσμικό ζεύγος που τον "δέχεται".

Πρόσβαση σε όλα τα έγγραφα
Βελτίωσε τους βαθμούς σου
Γίνε μέλος με εκατομμύρια μαθητές
Ο δεσμός υδρογόνου εξηγεί γιατί ο πάγος επιπλέει (λιγότερο πυκνός από το υγρό νερό) και γιατί οι κατώτερες αλκοόλες διαλύονται τόσο καλά στο νερό.
Η ισχύς των δεσμών ακολουθεί τη σειρά: Ιοντικός, Ομοιοπολικός > Δεσμός Υδρογόνου > Διπόλου-Διπόλου, London.
Όμως προσοχή! Όταν δύο ενώσεις έχουν πολύ διαφορετικό Mr (η μία διπλάσια από την άλλη), οι δυνάμεις London μπορεί να γίνουν ισχυρότερες από τις διπόλου-διπόλου.
Παράδειγμα: Το HBr έχει και London και διπόλου-διπόλου, ενώ το Br₂ μόνο London - αλλά το Br₂ έχει ισχυρότερες συνολικές διαμοριακές δυνάμεις!
Οι δυνάμεις ιόντος-διπόλου (π.χ. στις σύμπλοκες ενώσεις) εξαρτώνται από το φορτίο και το μέγεθος του ιόντος.

Πρόσβαση σε όλα τα έγγραφα
Βελτίωσε τους βαθμούς σου
Γίνε μέλος με εκατομμύρια μαθητές
Οι διαμοριακές δυνάμεις καθορίζουν τη φυσική κατάσταση: ισχυρές στα στερεά, ασθενείς στα υγρά, αμελητέες στα αέρια.
Η διαλυτότητα ακολουθεί τον κανόνα "τα όμοια διαλύουν όμοια" - πολικές ουσίες σε πολικούς διαλύτες, άπολες σε άπολους.
Το σημείο ζέσης αυξάνεται με την ισχύ των διαμοριακών δυνάμεων. Γι' αυτό το νερό (δεσμοί Η) βράζει στους 100°C ενώ το μεθάνιο (μόνο London) στους -162°C!
Πρακτική εφαρμογή: Όσο ισχυρότερες οι διαμοριακές δυνάμεις, τόσο πιο δύσκολα "σπάνε" τα μόρια για να γίνουν αέριο - άρα υψηλότερο σημείο ζέσης!
Η υγροποίηση των αερίων επίσης γίνεται ευκολότερη όσο ισχυρότερες είναι οι διαμοριακές δυνάμεις.

Πρόσβαση σε όλα τα έγγραφα
Βελτίωσε τους βαθμούς σου
Γίνε μέλος με εκατομμύρια μαθητές

Πρόσβαση σε όλα τα έγγραφα
Βελτίωσε τους βαθμούς σου
Γίνε μέλος με εκατομμύρια μαθητές

Πρόσβαση σε όλα τα έγγραφα
Βελτίωσε τους βαθμούς σου
Γίνε μέλος με εκατομμύρια μαθητές

Πρόσβαση σε όλα τα έγγραφα
Βελτίωσε τους βαθμούς σου
Γίνε μέλος με εκατομμύρια μαθητές

Πρόσβαση σε όλα τα έγγραφα
Βελτίωσε τους βαθμούς σου
Γίνε μέλος με εκατομμύρια μαθητές

Πρόσβαση σε όλα τα έγγραφα
Βελτίωσε τους βαθμούς σου
Γίνε μέλος με εκατομμύρια μαθητές

Πρόσβαση σε όλα τα έγγραφα
Βελτίωσε τους βαθμούς σου
Γίνε μέλος με εκατομμύρια μαθητές

Πρόσβαση σε όλα τα έγγραφα
Βελτίωσε τους βαθμούς σου
Γίνε μέλος με εκατομμύρια μαθητές

Πρόσβαση σε όλα τα έγγραφα
Βελτίωσε τους βαθμούς σου
Γίνε μέλος με εκατομμύρια μαθητές

Πρόσβαση σε όλα τα έγγραφα
Βελτίωσε τους βαθμούς σου
Γίνε μέλος με εκατομμύρια μαθητές

Πρόσβαση σε όλα τα έγγραφα
Βελτίωσε τους βαθμούς σου
Γίνε μέλος με εκατομμύρια μαθητές

Πρόσβαση σε όλα τα έγγραφα
Βελτίωσε τους βαθμούς σου
Γίνε μέλος με εκατομμύρια μαθητές

Πρόσβαση σε όλα τα έγγραφα
Βελτίωσε τους βαθμούς σου
Γίνε μέλος με εκατομμύρια μαθητές

Πρόσβαση σε όλα τα έγγραφα
Βελτίωσε τους βαθμούς σου
Γίνε μέλος με εκατομμύρια μαθητές

Πρόσβαση σε όλα τα έγγραφα
Βελτίωσε τους βαθμούς σου
Γίνε μέλος με εκατομμύρια μαθητές

Πρόσβαση σε όλα τα έγγραφα
Βελτίωσε τους βαθμούς σου
Γίνε μέλος με εκατομμύρια μαθητές

Πρόσβαση σε όλα τα έγγραφα
Βελτίωσε τους βαθμούς σου
Γίνε μέλος με εκατομμύρια μαθητές

Πρόσβαση σε όλα τα έγγραφα
Βελτίωσε τους βαθμούς σου
Γίνε μέλος με εκατομμύρια μαθητές

Πρόσβαση σε όλα τα έγγραφα
Βελτίωσε τους βαθμούς σου
Γίνε μέλος με εκατομμύρια μαθητές

Πρόσβαση σε όλα τα έγγραφα
Βελτίωσε τους βαθμούς σου
Γίνε μέλος με εκατομμύρια μαθητές

Πρόσβαση σε όλα τα έγγραφα
Βελτίωσε τους βαθμούς σου
Γίνε μέλος με εκατομμύρια μαθητές

Πρόσβαση σε όλα τα έγγραφα
Βελτίωσε τους βαθμούς σου
Γίνε μέλος με εκατομμύρια μαθητές

Πρόσβαση σε όλα τα έγγραφα
Βελτίωσε τους βαθμούς σου
Γίνε μέλος με εκατομμύρια μαθητές

Πρόσβαση σε όλα τα έγγραφα
Βελτίωσε τους βαθμούς σου
Γίνε μέλος με εκατομμύρια μαθητές

Πρόσβαση σε όλα τα έγγραφα
Βελτίωσε τους βαθμούς σου
Γίνε μέλος με εκατομμύρια μαθητές

Πρόσβαση σε όλα τα έγγραφα
Βελτίωσε τους βαθμούς σου
Γίνε μέλος με εκατομμύρια μαθητές

Πρόσβαση σε όλα τα έγγραφα
Βελτίωσε τους βαθμούς σου
Γίνε μέλος με εκατομμύρια μαθητές
Ο AI σύντροφός μας είναι ειδικά σχεδιασμένος για τις ανάγκες των μαθητών. Βασισμένοι στα εκατομμύρια κομμάτια Περιεχομένων που έχουμε στην πλατφόρμα, μπορούμε να παρέχουμε πραγματικά ουσιαστικές και σχετικές απαντήσεις στους μαθητές. Αλλά δεν αφορά μόνο τις απαντήσεις, ο σύντροφος είναι ακόμη περισσότερο για την καθοδήγηση των μαθητών στις καθημερινές τους μαθησιακές προκλήσεις, με εξατομικευμένα προγράμματα μελέτης, κουίζ ή Περιεχόμενα στη Συνομιλία και 100% εξατομίκευση βασισμένη στις δεξιότητες και την ανάπτυξη των μαθητών.
Μπορείτε να κατεβάσετε την εφαρμογή από το Google Play Store και το Apple App Store.
Ναι, έχετε δωρεάν πρόσβαση στο περιεχόμενο της εφαρμογής και στον AI companion μας. Για να ξεκλειδώσετε ορισμένες λειτουργίες της εφαρμογής, μπορείτε να αγοράσετε το Knowunity Pro.
23
Έξυπνα Εργαλεία ΝΕΟ
Μετέτρεψε αυτές τις σημειώσεις σε: ✓ 50+ Ερωτήσεις Εξάσκησης ✓ Διαδραστικές Κάρτες Μνήμης ✓ Πλήρες Προσομοιωτικό Διαγώνισμα ✓ Σχέδια Δοκιμίου
App Store
Google Play
Η εφαρμογή είναι πολύ εύκολη στη χρήση και καλά σχεδιασμένη. Έχω βρει ό,τι έψαχνα μέχρι τώρα και έχω μάθει πολλά από τις παρουσιάσεις! Σίγουρα θα χρησιμοποιήσω την εφαρμογή για μια εργασία του μαθήματος! Και φυσικά βοηθάει πολύ και ως έμπνευση.
Στέφαν Σ
χρήστης iOS
Αυτή η εφαρμογή είναι πραγματικά τέλεια. Υπάρχουν τόσες πολλές σημειώσεις μελέτης και βοήθεια [...]. Το μάθημα που με δυσκολεύει είναι τα Γαλλικά, για παράδειγμα, και η εφαρμογή έχει τόσες επιλογές για βοήθεια. Χάρη σε αυτή την εφαρμογή, έχω βελτιώσει τα Γαλλικά μου. Θα την πρότεινα σε οποιονδήποτε.
Σαμάνθα Κλιχ
χρήστης Android
Ουάου, είμαι πραγματικά εντυπωσιασμένος. Δοκίμασα την εφαρμογή επειδή την είδα διαφημισμένη πολλές φορές και έμεινα άφωνος. Αυτή η εφαρμογή είναι Η ΒΟΗΘΕΙΑ που χρειάζεσαι για το σχολείο και πάνω απ' όλα, προσφέρει τόσα πράγματα, όπως ασκήσεις και φύλλα γεγονότων, που ήταν ΠΟΛΥ χρήσιμα για μένα προσωπικά.
Άννα
χρήστης iOS
Το Knowunity είναι ότι πρέπει Για μαθητές οι οποίοι όντως έχουν την θέληση για μάθηση καθώς δεν είναι σαν τις άλλες εφαρμογές που σου δίνουν απευθείας την λύση όμως σου εξηγούν λεπτομερώς και την σημασία – νόημα αυτού του οποίου ψάχνεις ! Καταπληκτική εφεύρεση ! Ένας από τους λόγους για τον οποίο χαίρομαι που Η τεχνητή νοημοσύνη εξελίσσεται .
Φασαια
χρήστης iOS
τέλειοοο
Λίζα Μ
χρήστης Android
Αυτή η εφαρμογή με έχει κάνει τα θέλω να διαβάζω με βοηθάει πάρα πολύ
Καμαρινός Γ
χρήστης iOS
Η εφαρμογή είναι τέλεια! Το μόνο που χρειάζεται να κάνω είναι να εισάγω το θέμα στη γραμμή αναζήτησης και παίρνω την απάντηση πολύ γρήγορα. Δεν χρειάζεται να παρακολουθήσω 10 βίντεο στο YouTube για να καταλάβω κάτι, άρα εξοικονομώ χρόνο. Τη συνιστώ ανεπιφύλακτα!
Sudenaz Ocak
χρήστης Android
Στο σχολείο ήμουν πολύ κακός στα μαθηματικά, αλλά χάρη στην εφαρμογή τα πάω καλύτερα τώρα. Είμαι τόσο ευγνώμων που δημιούργησες την εφαρμογή.
Greenlight Bonnie
χρήστης Android
Το καλύτερο που υπάρχει αυτό έχω να πω εγώ
Τζούλια Σ
χρήστης Android
με βοηθάει πάρα πολύ στα μαθήματα πρέπει να το κατεβάσετε είναι ότι καλύτερο
Αγγο
χρήστης iOS
ΤΑ ΚΟΥΙΖ ΚΑΙ ΟΙ ΚΑΡΤΕΣ ΜΝΗΜΗΣ ΕΙΝΑΙ ΤΟΣΟ ΧΡΗΣΙΜΑ ΚΑΙ ΛΑΤΡΕΥΩ ΤΟ Knowunity ΤΝ. ΕΙΝΑΙ ΚΥΡΙΟΛΕΚΤΙΚΑ ΣΑΝ ΤΟ CHATGPT ΑΛΛΑ ΠΙΟ ΕΞΥΠΝΟ!! ΜΕ ΒΟΗΘΗΣΕ ΚΑΙ ΜΕ TA ΠΡΟΒΛΗΜΑΤΑ ΜΕ ΤΗ ΜΑΣΚΑΡΑ ΜΟΥ!! ΚΑΘΩΣ ΚΑΙ ΜΕ ΤΑ ΚΑΝΟΝΙΚΑ ΜΟΥ ΜΑΘΗΜΑΤΑ! ΞΕΚΑΘΑΡΑ 😍😁😲🤑💗✨🎀😮
Μαριλου
χρήστης Android
Η εφαρμογή αυτή είναι τέλεια Αν έχεις κάποια κενά ή κάποιος καθηγητής/καθηγητριά σου (ιδιαίτερα αν πας σε δημόσιο ) δεν κάνει καλό μάθημα ή δεν μπορείς να καταλάβεις το so σε βοηθάει με ερωτήσεις και μπορείς να βρεις πολλές σημειώσεις σε μαθήματα από άλλους μαθητές. Εγώ που δυσκολεύομαι με κάποια μαθήματα αυτή η εφαρμογή με έχει βοηθήσει να τα κατανοήσω όσο καλύτερα μπορώ
Thenia
χρήστης iOS
Η εφαρμογή είναι πολύ εύκολη στη χρήση και καλά σχεδιασμένη. Έχω βρει ό,τι έψαχνα μέχρι τώρα και έχω μάθει πολλά από τις παρουσιάσεις! Σίγουρα θα χρησιμοποιήσω την εφαρμογή για μια εργασία του μαθήματος! Και φυσικά βοηθάει πολύ και ως έμπνευση.
Στέφαν Σ
χρήστης iOS
Αυτή η εφαρμογή είναι πραγματικά τέλεια. Υπάρχουν τόσες πολλές σημειώσεις μελέτης και βοήθεια [...]. Το μάθημα που με δυσκολεύει είναι τα Γαλλικά, για παράδειγμα, και η εφαρμογή έχει τόσες επιλογές για βοήθεια. Χάρη σε αυτή την εφαρμογή, έχω βελτιώσει τα Γαλλικά μου. Θα την πρότεινα σε οποιονδήποτε.
Σαμάνθα Κλιχ
χρήστης Android
Ουάου, είμαι πραγματικά εντυπωσιασμένος. Δοκίμασα την εφαρμογή επειδή την είδα διαφημισμένη πολλές φορές και έμεινα άφωνος. Αυτή η εφαρμογή είναι Η ΒΟΗΘΕΙΑ που χρειάζεσαι για το σχολείο και πάνω απ' όλα, προσφέρει τόσα πράγματα, όπως ασκήσεις και φύλλα γεγονότων, που ήταν ΠΟΛΥ χρήσιμα για μένα προσωπικά.
Άννα
χρήστης iOS
Το Knowunity είναι ότι πρέπει Για μαθητές οι οποίοι όντως έχουν την θέληση για μάθηση καθώς δεν είναι σαν τις άλλες εφαρμογές που σου δίνουν απευθείας την λύση όμως σου εξηγούν λεπτομερώς και την σημασία – νόημα αυτού του οποίου ψάχνεις ! Καταπληκτική εφεύρεση ! Ένας από τους λόγους για τον οποίο χαίρομαι που Η τεχνητή νοημοσύνη εξελίσσεται .
Φασαια
χρήστης iOS
τέλειοοο
Λίζα Μ
χρήστης Android
Αυτή η εφαρμογή με έχει κάνει τα θέλω να διαβάζω με βοηθάει πάρα πολύ
Καμαρινός Γ
χρήστης iOS
Η εφαρμογή είναι τέλεια! Το μόνο που χρειάζεται να κάνω είναι να εισάγω το θέμα στη γραμμή αναζήτησης και παίρνω την απάντηση πολύ γρήγορα. Δεν χρειάζεται να παρακολουθήσω 10 βίντεο στο YouTube για να καταλάβω κάτι, άρα εξοικονομώ χρόνο. Τη συνιστώ ανεπιφύλακτα!
Sudenaz Ocak
χρήστης Android
Στο σχολείο ήμουν πολύ κακός στα μαθηματικά, αλλά χάρη στην εφαρμογή τα πάω καλύτερα τώρα. Είμαι τόσο ευγνώμων που δημιούργησες την εφαρμογή.
Greenlight Bonnie
χρήστης Android
Το καλύτερο που υπάρχει αυτό έχω να πω εγώ
Τζούλια Σ
χρήστης Android
με βοηθάει πάρα πολύ στα μαθήματα πρέπει να το κατεβάσετε είναι ότι καλύτερο
Αγγο
χρήστης iOS
ΤΑ ΚΟΥΙΖ ΚΑΙ ΟΙ ΚΑΡΤΕΣ ΜΝΗΜΗΣ ΕΙΝΑΙ ΤΟΣΟ ΧΡΗΣΙΜΑ ΚΑΙ ΛΑΤΡΕΥΩ ΤΟ Knowunity ΤΝ. ΕΙΝΑΙ ΚΥΡΙΟΛΕΚΤΙΚΑ ΣΑΝ ΤΟ CHATGPT ΑΛΛΑ ΠΙΟ ΕΞΥΠΝΟ!! ΜΕ ΒΟΗΘΗΣΕ ΚΑΙ ΜΕ TA ΠΡΟΒΛΗΜΑΤΑ ΜΕ ΤΗ ΜΑΣΚΑΡΑ ΜΟΥ!! ΚΑΘΩΣ ΚΑΙ ΜΕ ΤΑ ΚΑΝΟΝΙΚΑ ΜΟΥ ΜΑΘΗΜΑΤΑ! ΞΕΚΑΘΑΡΑ 😍😁😲🤑💗✨🎀😮
Μαριλου
χρήστης Android
Η εφαρμογή αυτή είναι τέλεια Αν έχεις κάποια κενά ή κάποιος καθηγητής/καθηγητριά σου (ιδιαίτερα αν πας σε δημόσιο ) δεν κάνει καλό μάθημα ή δεν μπορείς να καταλάβεις το so σε βοηθάει με ερωτήσεις και μπορείς να βρεις πολλές σημειώσεις σε μαθήματα από άλλους μαθητές. Εγώ που δυσκολεύομαι με κάποια μαθήματα αυτή η εφαρμογή με έχει βοηθήσει να τα κατανοήσω όσο καλύτερα μπορώ
Thenia
χρήστης iOS